Membrane Pharmacy Structure Dynamics 

Research group : Priv.Doz. Dr. Thomas Nawroth 

Time Resolved Methods (TR-Methods) 


[ Impressum-Disclaimer ]
Time resolved methods are required for scientific and technological investigations in three case classes: i) the study of a running process, e.g. molecular motion in proteins or polymers; ii) the characterization of a system showing several states, if some of these cannot be fixed but interpolated from a conversion process, e.g. in the allosteric conversion or regulation of a protein; and iii) investigations using a reagent of short life time, e.g. photolabeling or photocrosslinking, which generates reactive chemical species with lifetimes of microseconds and shorter by photolysis of a photoreactive or cleavable precursor.

Molecular level

In any of these cases the system beeing investigated undergoes a stepwise transition from a start state (S ; Z1) to a  product state (P ; Z6):
 
a) 
Start state (Z1) (S) > intermediate (Z2) > intermediate (Z3) > intermediate (Z4) > intermediate (Z5) > Product state (Z6) (P)
b) 
Fig.1: a) The conversion of a chemical or biological system leads from a start status (S) to a product status (P) by a stepwise conversion at the single molecule level. In the example a six status conversion is assumed, e.g. intermediate states of an enzyme catalysis.
b) The investigation of a macroscopic sample (many molecules) has to be started by a jump event, e.g. by mixing of enzyme and substrate leading to substrate saturation (c >> Km). If this process has the speed control on the reaction, this leads to a synchronization of the sample for a limited time. The synchronized sample undergoes a transition of state densities  S1 to S6 of molecules beeing in the status  Z1 to Z6 in the example. The properties of the intermediates and their interconversions can be studied by time resolved investigation online, or after time resolved intermediate fixing in aliquots off-line (frozen intermediates).

In some cases the process can be studied at the molecular level by single molecule spectroscopy, e.g. with a molecule fixed in the beam of a confocal laser microscope. This is difficult and risky due to radiation damage and other artefact problems. For structural biology investigations those concepts are planned for the free electron laser X-ray sources FEL at Stanford, USA, and DESY, Hamburg (Ref.: Anfinrud et al.; Nature 2000). In that particular case the undisturbed structure is obtained by an ultrafast investigation in femtoseconds prior to radiation demage (single molecule "crystallography without crystals").
In most other systems the conversion has to be studied at the macroscopic level, i.e. using large samples containing millions of molecules,according to Fig.1. This requires the synchronization of the reaction by a jump event, e.g. by activating or adding substrate to an enzyme in a time shorter than the duration of the reaction cycle; or by a temperature jump of a premix. In light dependent systems this can be obtained by flash illumination. The synchronized system can then be followed either: i) online by time resolved investigation; or ii) off-line by static investigation after time resolved intermediate fixation, e.g. by taking aliquots and rapid cooling or freezing (fixed intermediates). Examples from the MPSD group are for the online method (i) the time resolved structure investigation of working F1ATPase after ATP-addition by TR-SAXS at the ESRF, Grenoble, and the time resolved study of lipid membrane structure after a pH-jump by time resolved neutron TR-SANS scattering at the ILL, Grenoble; and with the off-line method (ii) the time resolved investigation of the light-driven ATP synthesis of co-reconstituted ATP-synthase/mBR (Bacteriorhodopsin) liposomes as has been done e.g. in [F17, F18]. (iii) As shown below we have recently developed a novel strategy, which combines both methods in the rapid-mix/cold-trap method for the double time resolved investigation of intermediates of very short live time in enzymatic rection cycles.

Table.1: A process requires several start conditions. Only one or a few control speed and may thus be used for process synchronization.
necessary conditions
speed controlling conditions (sufficient)
- have to be present for the process
- do not directly affect the rate limiting step
- have to be present for the process
- affect the rate limiting step directly

In any case of a study with a macroscopic sample, the success of the time resolved investigation depends on the start and synchronization reaction. According to table1, the start may depend on several conditions, which are depicted as "necesseary conditions". Only one or a few lead to a synchronization of the process, if they are controlling speed by direct access to the rate limiting step.
If a reaction is to investigated by time resolved methods, the number and nature of the start conditions has to be investigated carefully. If both classes of conditions are present, the reaction has to be started in a two-step process: i) the necessary conditions have to be established, and ii) the speed controlling conditions have to be produced by a jump event in a short time.
 
Fig.2: The kinetics of most enzymes can be described by the Michaelis-Menten model. At low concentrations the speed is diffusion-controlled by the formation of the enzyme-substrate complex (ES) from free enzyme (E) and substrate (S). At high substrate concentration (c >> Km) most of the enzyme is present as ES complex. In that case the speed control is in the formation of the transition state ES*. The further reaction lead over the enzyme-product complexes (EP*, EP) to enzyme and product (P). Thus in many cases a substrate concentration jump cj > 2 Km leads to sample synchronization for a limited time.

As depicted in Fig.2, in a simple enzyme catalysis the speed control under substrate (S) saturation is according to the Michaelis-Menten kinetics in the second reaction step, which leads from the enzyme-substrate complex (ES) to the transition state ES* and then over the activated (EP*) and relaxed enzyme-product comples (EP) to free enzye and product (P). If the substrate (S) binding to the enzyme (E) is faster than the formation of the transition state (ES*) from the enzyme-substrate complex (ES), the reaction can be synchronized for one reaction cycle (at least ). According to Equ.1 and this requires a concentration jump of the substrate to cj > 2Km in a time much shorter than then duration of the reaction cycle tr (Km is the Michaelis constant, i.e. the substrate concentration where 50% of the enzyme in present as ES). In our experiments with working F1ATPase and ATP-synthase we use a substrate concentration  jump (in ATP) to 8*Km in 0.2 - 5% of tr (depending on the temperature = speed). Note that the nature of the rate control in a complex multidomain enzyme as ATPase is not as simple as illustrated in Fig.2 !
 
Equ.1:
cj > 2 Km
Equ.2:
tr = 1 / kcat

Two examples may illustrate this important step in time resolved studies:
A) The study of the time coarse of subreactions of working F1ATPase requires a preparation of pure, 100% reaction competent and kinetically homogenous enzyme as necessary condition and the rapid addition (stopped flow tchnique) or activation (caged-ATP flash technique) of substrate (ATP) as speed controlling condition.
B) The study of reaction steps during ATP-synthesis of ATP-synthase/mBR liposomes requires two pure and functional enzymes (ATP-synthase, monomeric Bacteriorhodopsin mBR), liposomes and unique reconstitution as necessary conditions. Furthermore the liposomes have to be "energized", i.e. the generation of an electrochemical proton potential difference of the membrane sufficient for ATP synthesis (delta-p > 100 mV). This is an important necesary condition, but not the key for the rate limiting step ! The speed control is at the nucleotide level as in (A), in this case by the substrate ADP.

Active Sample Generation

Table.2: Techniques of active sample generation
technique time resolution remarks
direct mixing 1 s eldest technique; mostly suitable at the system, but not at molecular event level
stopped flow rapid mixing 1 ms speed depends on supplied volume
additional delay (start to first data point)
photoactivation by a light pulse fs photosynthesis and photoreactions;
flash tubes: > 1µs
laser: fs
photolytic activation by cleavage of a precursor, or by a radical (footprinting) µs to ms; 25 ms for caged-ATP at pH7 caged compounds are photo-cleaved in a 2-step process. Only the first is fast, the second (anion liberation, if any) depends on pH in speed.
photoexcitation of an electron system fs to ns; < 5 ps for caged-acid proton the secondary re-protonation of the slower anion has to be avoided for caged acids / proton
photolabeling and -crosslinking µs lifetime of active species (nitrene, carbene) has to be low (ns) for structure specifity (epitope);
requires flash photolysis for reliable results
temperature jump ms to s if acchieved directly
ns to µs possible, if done indirectly 
indirect method is slow (+,- direction)
ms temperature jump by stopped-flow mixing (+,-)
fast temperature jump by flash or laser pulse absorption (+ direction only)
pressure jump µs energy absorption at constat volume;
piezo technique
field jump ps direct: electrodes or magnets;
light absorption (grazing incidence)
light pulse fs flash tubes for moderate speed (>1 µs)
laser methods for fast reactions

According to table2, the active sample can be produced by several techniques, which include a jump event of a speed controlling condition.
The direct mixing is limited to rather slow reactions (> 1s), if assuming a conventional (photometer) cuvette equipped with a magnetic stirrer. A further problem of this technique is the production of analytic aliquotes of a batch sample because of pressure limits (> 1 bar, if suction technique is used).
For the investigation of subprocesses in enzyme catalysis and polymer reactions the stopped-flow rapid mixing technique is mostly spread (due to early work of B. Chance and Holzwart; Nobel award for TR-studies).

Setup

Table.3: Components of a setup for time resolved invstigations
component stopped-flow rapid mixing; 
quenched-flow multiple mixing;
continuous flow
flash photolysis (caged compounds);
photolabeling, photoactivation
sample supply unit syringes for stock solutions on a common drive syringe for premix solution on a drive
temperature conrol device heat exchanger (umbilical unit) heat exchanger (umbilical unit)
sample activation device mixer; tangential flow or turbid stream irradiation cuvette with two (UV)-light sources
mostly = sample investigation unit
sample investigation unit pressure resistant cuvette, capillary flat window cell, cuvette, capillary

As depicted in table3 and Fig.3, a setup for time resolved investigations consists of four devices at least: the sample supply unit, the temperature conrol device, the sample activation device and the sample investigation unit. Additionally tubing between the devices is required (PTFE tubing or of coarse steel or PEEK capillaries, as usual in HPLC). The stopped-flow technique is expensive and limited to moderate speed (>1 ms), but rather easy to use. The flash photolysis is easy in principle and does not include an unintended pressure jump or shearing forces inside the sample. Thus a flat window cell can be used for the in situ activation and investigation of the sample. The problem is here the more complicated chemistry and the unique distribution of light inside the sample. For both problems solutions are presented in the optics chapter and the chemical synthesis page.
 
Fig.3: A setup for time resolved investigations consists of four components at least: 1) the sample delivery unit; 2) the temperatur control device; 3) the sample activation device (mixer, flash unit); and 4) the sample investigation unit. Two or more components may be combined to a compact-device.

The four units of a timer resolved setup may be combined to a compact block, as is the case with many commercial stopped-flow devices (e.g. from Biologique, Grenoble), or they may be constructed as separate devices, as is the case with several commercial components (e.g. SF20mXM from HighTech Scientific, UK) and in our own constructions (stopped-flow devices MSF1 to MSF4 and sample environments, in part with helium-jet cooling and additional temperature jump / cold trap unit). As shown in table4, each solution has advantages and disadvantages, depending on the application:

Table.4: Advantages of compact-device and separate-component setups for time resolved investigations.
concept advantage disadvantage
compact-device easy to use
fast setup
low dead volume
low flexibility in sample conditions
time-consuming sample change and flush
only one temperature possible
separate-component high flexibility of conditions
additional methods possible, e.g. dual beam, UV-flash, light guides, sample camera control etc.
temperature jump possible (cold trap method)
helium-cooling with separate sample box, low background with helium atmosphere
complicated setup
slow setup (hours)
dead volume in connecting tubings (some 100 µl)
voluminous equipment
weight (SBox4 with Alu-Lead shielding = 30 kg)

Online Investigation
 
Fig.4: The time resolved investigation of a running process requires the activation in a short time. This trigger can be achieved in three ways: i) by rapid mixing (fluids), ii) by flash activation of the substrate, or iii) by flash activation of an inhibited enzyme (from T20). 

The online study of a running process is the most direct access to conversions and intermediates. In case of rapid reactions, which only scarcely depend on temperature, it is the only direct experimental method, due to the limited time resolution of available methods for intermediate fixation, e.g. using stopped-flow devices (tr > 1 ms). Technically the online observation can be done in tthree ways by: i) continuous flow investigation, or ii) stopped-flow experiments, which are for structure research done in a favorate way as multiple mixing quenched flow variant with a stepper motor driven multiple shot stopped-flow device; iii) A third technique is the observation of the process after in-situ activation by a light flash, e.g. photolysis of a caged compound, photoactivation of an enzyme or substrate, or other photoreactions. The latter method applies to crystallography with X-ray and neutron radiation and to the investigation of sensitive samples by scattering and spectroscopy.

Mixing activation with fluids
 
Fig.5: The time resolved investigation of a running process using the continous flow technique requires a significant sample volume. During the whole experiment active sample is produced continuously  in the mixer and flows through the long capillary, which is scanned by the experiment, e.g. a X-ray beam. The distance between mixer and test point correlates with the reaction time und thus the molecular status.

The principle of an continous flow experiment is depicted in Fig.4. This type of simple time resolved experiment is favorate, if a large amount of the sample is available, e.g. during the investigation of chemical reaction (polymerization). In structural biology mostly a few milliliters of protein solution containing typically 1% protein or less is available. Thus the stopped-flow technique or flash photochemistry methods using a discontinous flow are applied here. Examples of those setups for time resolved X-ray small angle scattering TR-SAXS and time resolved neutron small angle scattering TR-SANS which have been develloped by the MPSD group are shown in Fig.6 und Fig.7. Both setups use the multiple shot quenched flow variant with stepping motor stopped-flow devices. This allows several shots without breaking the radiation security interlock system. The setups were used for the investigation of F1ATPase, ATP-Synthase, GroEL, Myoglobin and liposomes in cooperation with H. Heumann and M. Rössle, MPI Martinsried; W. Doster, TU München; T. Narayanan, O. Diat and P. Boesecke, ESRF Grenoble; H. Amenitsch and S. Bernstorff, ELETTRA Trieste; and R.P. May and J. Holzinger, ILL Grenoble.
 
Fig.6: Setup for the investigation of a working enzyme by time resolved X-ray small angle scattering TR-SAXS. The active sample is produced after thermalisation and mixing inside the external sample environment box (SBox1, 2). The helium atmosphere reduces the background of air-scattering and allows definite temperature control. SBox2 and 4 are equipped with an addition helium-jet cooling of the sample irradiation point to avoid beam heating. By the second drive the sample can be slowly replaced be fresh working solution from the loop before the cell by drag buffer (flux: 0.1 - 5 µl/s) [from R6].

The X-ray setup (Fig.6) uses the sample cell in a flow-through mode. about 50% of the new shot is here used for removal of the old sample and flushing. The working solution between mixer and irradiation point (80 µl in our helium filled sample environments SBox1, 2 and 4) can be used for slow continuous sample replacement during the exposure in order to avoid radiation demage artefacts (drag buffer, flux = 0.1 to 2 µl/s). The setup was used as depicted at the ESRF beamlines ID2A and ID24 and at ELETTRA beamline SAXS (5.2); the helium-jet cooled sample environment SBox4 (without stopped-flow) was used at ESRF-ID1 and DESY-HASYLAB beamline USAXS (BW4).
 
Fig.7: Setup for time resolved neutron small angle scattering TR-SANS. The active sample is produced in the external mixer from stock solutions and transfered via a 3-way valve into the quartz cuvette, which is filled only by 2/3. After the electronic exposure of the structural film the T-valve is switched over and the sample is removed backwards using the second drive. The upper connection is an air and emergency outlet [from T20, R10].

In the TR-SANS setup (Fig.7) the cuvette (d= 1 mm or 10 mm; Hellma) is only filled by 2/3. The upper outlet is an emergency and air exit. After the TR-exposure the T-valve between mixer and cuvette is switched over and the sample is removed with the second drive, which moves the waste syringe. The setup was developped for the time resolved investigation of liposomes and GroEL at the ILL beamline D22 (see preliminary reports R10, R11).
Technical details of our sample environments and our mixing devices are shown in at the rapid mixing technology page.

In situ activation of crystals, solids and sensitive samples
 
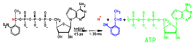
Fig.8: The flash photolysis of a caged compound generates a concentration jump of the fragments, e.g. ATP and protons [from T20].

During the time resolved investigation by crystallography with X-rays and neutrons and by solution scattering of samples sensitive to shearing forces the process by activation mixing does cannot be applied. Thus a substrate concentration jump required as trigger of the process has to be generated in-situ. As depicted in Fig.8, this can be done by flash phtolysis of compounds bearing a photo-lable protective group, e.g. a caged compound. The most simple caged compounds are esters of 2-nitro-phenyl-ethanol and an acid, e.g. ATP. Those substrates, e.g. caged-ATP, may bind to the catalytic center of an enzyme or not, depending on the protein. Both classes of enzymes may be investigated with a caged compound, as even a crystal contains enough solvent to bear the caged substrate close to the enzyme (typically 70% of the crystal mass is solvent). As shown at the chemical synthesis page, the MPSD group synthesizes caged-nucleotides as well as the novel caged-acids, which can generate a stable large pH-jump immediately after flash photolysis (delta-pH > 2; dt ~ ps).
An alternative to the caged compound technology is the activation of the protein by a flash. Several Heme-iron proteins can be inhibited with carbon monoxide CO. Due to spectral changes by CO-inhibition, this inhibitor can be eliminated by a light flash (femtoseconds). This technique has been used for the investigation of cytochrome-oxidases in Cooperation with G. Heinz and W. Doster (TU Munich) (see T21). A sketch of typical CO-inhibition and flash re-activation sequence is depicted in Fig.9.
 
Fig.9: Heme-iron proteins as Cytochrom-c oxidase can be inhibited by carbon monoxide (a) and reactivated by a light flash (b). After flash photolysis in presence of substrate (c), a single enzymatic reaction cycle occurs, because the recombination of the inhibitor is slower than the catalysis.


[ MAIN PAGE "Membrane Protein Structure Dynamics" (MPSD) ]
[ Impressum-Disclaimer | News | Address | Concepts | Science | Lectures | Technology | Publications | Health-Environment-Security | Thesis | Staff]
[ Structural Biology |Membrane Proteins| BioEnergetics | Molecular Motion | ATP-Synthase | Oxygen Proteins | Membrane Structure | NanoParticles ApplicationTime-Resolution | Computing | Study-Group ]


email to: nawroth@MPSD.de   update : 15.10.2013